位置: 首頁>>波浪理論圖解
黃金處于橫盤,白銀臨近向下突破五月 22nd, 2014
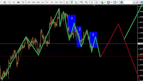
本周的重點行情時段是周四,耶倫的只談退出不論加息讓市場沒有動力,黃金的4小時的確走出非常標準的收縮三角形調整,波浪理論形態反應了人們對黃金保持在一個觀望的范圍,一…
暫無評論
黑田不再給日元打氣,美日進入大級別反彈五月 19th, 2014
美日最近的行情在逐步從長線多頭開始轉變成大級別的空頭反彈,市場的氣氛已經顯現在圖表上,基本面上的主要原因是日本的通脹目標從原來的不確定變成現在的連續實現預期,現…
暫無評論
德拉基口頭干預,歐美完成空頭第一波五月 14th, 2014
近期的美元指數能夠反彈主要受制于投資者對德拉基講話的畏懼,一句”如果有必要,歐洲央行可以在6月份采取行動”讓歐美走出了空頭一波流的行情,對比黃金白銀波動…
3 人評論
美元破掉新低,黃金短線多頭五月 6th, 2014
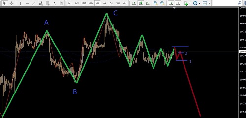
美元指數的今天剛剛突破79.27的低點,正在破往79.00的路上,對比黃金的走勢,暫時停留在高位重新橫盤!
波浪理論圖解黃金從1392到最低點1267運行了一個短C浪,就是C浪原本…
6 人評論
非農利好,但歐美依然多頭五月 2nd, 2014
本周的核心數據利好,但是美元指數只是維持短暫多頭又被市場的大趨勢壓制下去,這里的走勢反映了人們對美元空頭的預期具有很強的穿透力!
波浪理論圖解歐美的具體走勢,5浪…
2 人評論
歐元區口頭觀望,日元回調做多四月 25th, 2014
基本面歐洲方面依然只是觀望態度,歐美暫時沒有空頭的動能,喜歡短線的按自己的系統做,做中長線的耐心等新高!
波浪理論圖解美日在4小時上走出了一個漫長的一波流A浪之后…
暫無評論
周四新西蘭考慮加息,短線做多紐元四月 22nd, 2014
本周匯市機會重點把握新西蘭紐元,周四利率決議預期3.0%,帶動NZDUSD強勢行情。
波浪理論技術上市場已經走到天圖第5浪正好在macd背離的位置上,面臨大級別的調整行情…
暫無評論
歐洲暗示QE,歐元1200點空頭介入機會四月 14th, 2014
最近外匯市場中歐洲的QE叫得最緊張,正在不斷暗示匯率如果繼續強勢會采取QE動作,市場周一的反映是跳空30點并且進一步下跌,從目前的走勢看市場在一個多單逐步退場的過…
3 人評論
日元不愿擴大寬松,短線做多四月 10th, 2014
日本央行黑田最近的講話中總是重復著經濟正在進入良性循環+沒有必要采取更多刺激措施(指擴大QE規模),而技術上美日在走一個高位的橫盤整理,什么東西還能夠支撐它的進一步…
暫無評論
歐元區預實施萬億QE,歐美面臨長線拐點四月 7th, 2014
歐元從波浪理論圖解上看最近的下跌1是耶倫樂觀講話+2歐洲央行承認了通縮風險+3公開討論1萬億歐元的量化寬松,目前來看眼下的這20天空頭行情只回調了300點的行情,其背后反映…
4 人評論
耶倫樂觀派的第一個非農數據,歐美伺機而動四月 1st, 2014
歐元兌美元的走勢目前從技術上已經走出來一個非常標準的250點級別的引導楔形,其中第3浪是因為美聯儲的耶倫講話,第5浪是因為歐洲央行在加強討論關于承認了通縮風險進一步降…
6 人評論
美加多頭行情還有1000點行情三月 26th, 2014
因為美國經濟停留在復蘇的邊緣+加拿大國內經濟增長率和通脹相對發達國家過低,,同時有央行波洛茲在一邊點火煽情,站在貨幣貶值對自己經濟有利的一方成為了貨幣市場上最弱的…
暫無評論
美日基本面和技術面共振在橫盤整理之中三月 25th, 2014
日本在貨幣政策方面:一直都在努力實現通脹率2%的目標路上,對于4月號即將推出的消費稅從5%增長到8%對經濟的擔憂央行會引導市場進一步加大寬松力度的預期,加上央行在沒有實…
暫無評論
焦點轉向耶倫講話,歐美強勢難以改變三月 18th, 2014
克里米亞公投結果贊成加入俄羅斯的選票占95.5%,但歐美不予承認,并用”微不足道”的制裁手段僅對俄羅斯7名官員簽證禁令+資產凍結來威脅普京繼續對烏克蘭采取進一…
暫無評論
英鎊強勢不變,右側做多目標1.7000三月 13th, 2014
英鎊作為強勢的品種而且目前的基本面并沒有發生改變,繼續做多,在波浪理論形態上已經完成了一個標準的平臺型調整,而且正在右側的位置中,目標1.7000。
(聲明:尊重版權轉載…
2 人評論
